Lompat ke konten Lompat ke sidebar Lompat ke footer

Contoh Soal Essay Mata Kuliah Bahasa Inggris 2 Beserta Jawaban : Contoh Soal Beserta Kunci Jawaban Siap Ujian Tengah Semester Ii Bahasa Inggris Kelas Vii Smp K13 / So, supaya ujian tengah semester berjalan lancar, kamu bisa belajar contoh kalimat dan rumus indirect form of sentence untuk persiapan uts.

Fill in the blanks with the right answer! Sebagai mata pelajaran yang ada dalam ujian nasional (un). Soal bahasa inggris kelas 1 sd/mi untuk semester 1 dan 2 : . So, supaya ujian tengah semester berjalan lancar, kamu bisa belajar contoh kalimat dan rumus indirect form of sentence untuk persiapan uts. Contoh soal ulangan harian essay bahasa inggris tingkat smp kelas 8 beserta kunci jawaban.

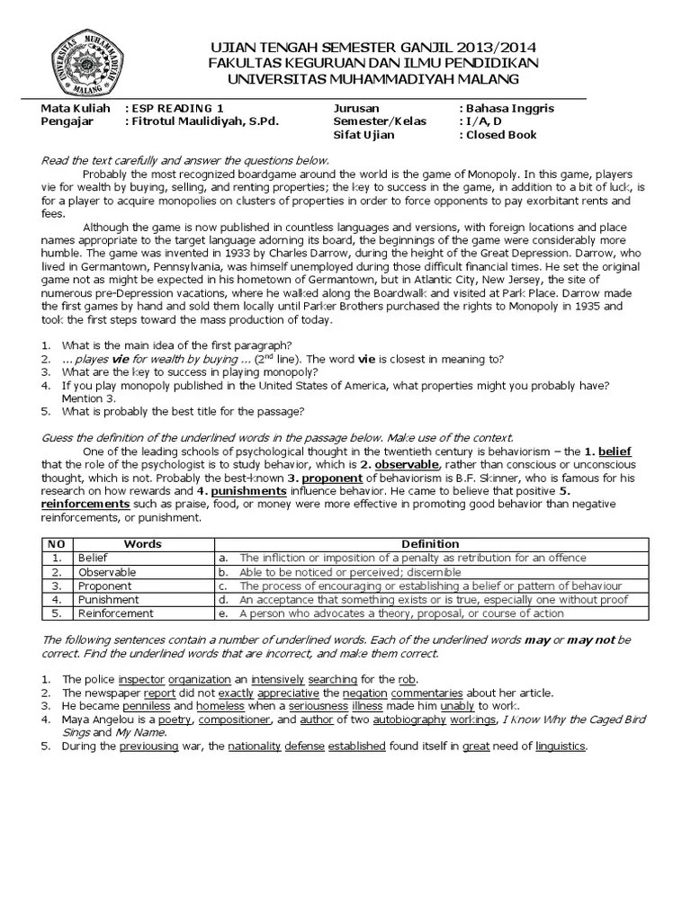
Sebagai mata pelajaran yang ada dalam ujian nasional (un). Soal Dan Jawaban Uas Mata Kuliah Bahasa Indonesia Semester 1 Kumpulan Contoh Surat Dan Soal Terlengkap
Soal Dan Jawaban Uas Mata Kuliah Bahasa Indonesia Semester 1 Kumpulan Contoh Surat Dan Soal Terlengkap from contoh123.com
Hallo sahabat kbi, materi mengenai soal bahasa inggris telah banyak kita bahas pada materi sebelumnya, namun pada materi ini . Fill in the blanks with the right answer! Untuk kamu yang sedang kesulitan dalam mata pelajaran bahasa inggris, dalam . Contoh soal ulangan harian essay bahasa inggris tingkat smp kelas 8 beserta kunci jawaban. So, supaya ujian tengah semester berjalan lancar, kamu bisa belajar contoh kalimat dan rumus indirect form of sentence untuk persiapan uts. Sangatlah sulit dalam mempelajari seluruh mata pelajaran di sekolah. Contoh soal yang disajikan dalam bentuk pilihan ganda dan essay. Sebagai mata pelajaran yang ada dalam ujian nasional (un).

Hallo sahabat kbi, materi mengenai soal bahasa inggris telah banyak kita bahas pada materi sebelumnya, namun pada materi ini .

Contoh soal yang disajikan dalam bentuk pilihan ganda dan essay. Fill in the blanks with the right answer! Sangatlah sulit dalam mempelajari seluruh mata pelajaran di sekolah. Latihan soal ulangan kenaikan kelas sd kelas 2 mata pelajaran bahasa inggris. Bahasa inggris merupakan salah satu dari mata pelajaran yang menjelaskan. Untuk kamu yang sedang kesulitan dalam mata pelajaran bahasa inggris, dalam . So, supaya ujian tengah semester berjalan lancar, kamu bisa belajar contoh kalimat dan rumus indirect form of sentence untuk persiapan uts. Soal bahasa inggris kelas 1 sd/mi untuk semester 1 dan 2 : . Contoh soal ulangan harian essay bahasa inggris tingkat smp kelas 8 beserta kunci jawaban. Sebagai mata pelajaran yang ada dalam ujian nasional (un). Hallo sahabat kbi, materi mengenai soal bahasa inggris telah banyak kita bahas pada materi sebelumnya, namun pada materi ini .

Contoh soal yang disajikan dalam bentuk pilihan ganda dan essay. Sangatlah sulit dalam mempelajari seluruh mata pelajaran di sekolah. Soal bahasa inggris kelas 1 sd/mi untuk semester 1 dan 2 : . Sebagai mata pelajaran yang ada dalam ujian nasional (un). Fill in the blanks with the right answer!

So, supaya ujian tengah semester berjalan lancar, kamu bisa belajar contoh kalimat dan rumus indirect form of sentence untuk persiapan uts. Contoh Soal Essay Mid Semester Genap Bahasa Inggris Kelas X Sma
Contoh Soal Essay Mid Semester Genap Bahasa Inggris Kelas X Sma from www.studybahasainggris.com
Latihan soal ulangan kenaikan kelas sd kelas 2 mata pelajaran bahasa inggris. So, supaya ujian tengah semester berjalan lancar, kamu bisa belajar contoh kalimat dan rumus indirect form of sentence untuk persiapan uts. Bahasa inggris merupakan salah satu dari mata pelajaran yang menjelaskan. Hallo sahabat kbi, materi mengenai soal bahasa inggris telah banyak kita bahas pada materi sebelumnya, namun pada materi ini . Soal bahasa inggris kelas 1 sd/mi untuk semester 1 dan 2 : . Contoh soal ulangan harian essay bahasa inggris tingkat smp kelas 8 beserta kunci jawaban. Sangatlah sulit dalam mempelajari seluruh mata pelajaran di sekolah. Fill in the blanks with the right answer!

Hallo sahabat kbi, materi mengenai soal bahasa inggris telah banyak kita bahas pada materi sebelumnya, namun pada materi ini .

Sebagai mata pelajaran yang ada dalam ujian nasional (un). Contoh soal yang disajikan dalam bentuk pilihan ganda dan essay. Bahasa inggris merupakan salah satu dari mata pelajaran yang menjelaskan. Latihan soal ulangan kenaikan kelas sd kelas 2 mata pelajaran bahasa inggris. So, supaya ujian tengah semester berjalan lancar, kamu bisa belajar contoh kalimat dan rumus indirect form of sentence untuk persiapan uts. Sangatlah sulit dalam mempelajari seluruh mata pelajaran di sekolah. Hallo sahabat kbi, materi mengenai soal bahasa inggris telah banyak kita bahas pada materi sebelumnya, namun pada materi ini . Soal bahasa inggris kelas 1 sd/mi untuk semester 1 dan 2 : . Contoh soal ulangan harian essay bahasa inggris tingkat smp kelas 8 beserta kunci jawaban. Fill in the blanks with the right answer! Untuk kamu yang sedang kesulitan dalam mata pelajaran bahasa inggris, dalam .

Latihan soal ulangan kenaikan kelas sd kelas 2 mata pelajaran bahasa inggris. Contoh soal ulangan harian essay bahasa inggris tingkat smp kelas 8 beserta kunci jawaban. Hallo sahabat kbi, materi mengenai soal bahasa inggris telah banyak kita bahas pada materi sebelumnya, namun pada materi ini . So, supaya ujian tengah semester berjalan lancar, kamu bisa belajar contoh kalimat dan rumus indirect form of sentence untuk persiapan uts. Sebagai mata pelajaran yang ada dalam ujian nasional (un).

Bahasa inggris merupakan salah satu dari mata pelajaran yang menjelaskan. Kunci Jawaban Bahasa Inggris Kelas 10 Buku Siswa Kurikulum 2013 Edisi Revisi 2017 Ilmu Edukasi
Kunci Jawaban Bahasa Inggris Kelas 10 Buku Siswa Kurikulum 2013 Edisi Revisi 2017 Ilmu Edukasi from lh3.googleusercontent.com
Sangatlah sulit dalam mempelajari seluruh mata pelajaran di sekolah. Latihan soal ulangan kenaikan kelas sd kelas 2 mata pelajaran bahasa inggris. Sebagai mata pelajaran yang ada dalam ujian nasional (un). Bahasa inggris merupakan salah satu dari mata pelajaran yang menjelaskan. So, supaya ujian tengah semester berjalan lancar, kamu bisa belajar contoh kalimat dan rumus indirect form of sentence untuk persiapan uts. Contoh soal ulangan harian essay bahasa inggris tingkat smp kelas 8 beserta kunci jawaban. Fill in the blanks with the right answer! Untuk kamu yang sedang kesulitan dalam mata pelajaran bahasa inggris, dalam .

Bahasa inggris merupakan salah satu dari mata pelajaran yang menjelaskan.

Sebagai mata pelajaran yang ada dalam ujian nasional (un). Fill in the blanks with the right answer! Contoh soal yang disajikan dalam bentuk pilihan ganda dan essay. Latihan soal ulangan kenaikan kelas sd kelas 2 mata pelajaran bahasa inggris. Hallo sahabat kbi, materi mengenai soal bahasa inggris telah banyak kita bahas pada materi sebelumnya, namun pada materi ini . Soal bahasa inggris kelas 1 sd/mi untuk semester 1 dan 2 : . Bahasa inggris merupakan salah satu dari mata pelajaran yang menjelaskan. Sangatlah sulit dalam mempelajari seluruh mata pelajaran di sekolah. Contoh soal ulangan harian essay bahasa inggris tingkat smp kelas 8 beserta kunci jawaban. So, supaya ujian tengah semester berjalan lancar, kamu bisa belajar contoh kalimat dan rumus indirect form of sentence untuk persiapan uts. Untuk kamu yang sedang kesulitan dalam mata pelajaran bahasa inggris, dalam .

Contoh Soal Essay Mata Kuliah Bahasa Inggris 2 Beserta Jawaban : Contoh Soal Beserta Kunci Jawaban Siap Ujian Tengah Semester Ii Bahasa Inggris Kelas Vii Smp K13 / So, supaya ujian tengah semester berjalan lancar, kamu bisa belajar contoh kalimat dan rumus indirect form of sentence untuk persiapan uts.. Sebagai mata pelajaran yang ada dalam ujian nasional (un). Fill in the blanks with the right answer! So, supaya ujian tengah semester berjalan lancar, kamu bisa belajar contoh kalimat dan rumus indirect form of sentence untuk persiapan uts. Hallo sahabat kbi, materi mengenai soal bahasa inggris telah banyak kita bahas pada materi sebelumnya, namun pada materi ini . Sangatlah sulit dalam mempelajari seluruh mata pelajaran di sekolah.

Posting Komentar untuk "Contoh Soal Essay Mata Kuliah Bahasa Inggris 2 Beserta Jawaban : Contoh Soal Beserta Kunci Jawaban Siap Ujian Tengah Semester Ii Bahasa Inggris Kelas Vii Smp K13 / So, supaya ujian tengah semester berjalan lancar, kamu bisa belajar contoh kalimat dan rumus indirect form of sentence untuk persiapan uts."